top of page

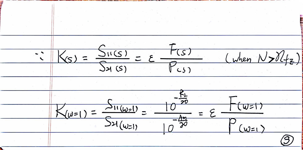
Ripple Level

  • hsuyw5
  • 2024年10月19日
  • 讀畢需時 0 分鐘

ree

ree

ree

ree

 
 
 

最新文章

查看全部
昇達科技相關新聞整理

2025,12,17 低軌衛星噴到外太空!華通攜手「2小兵」強攻漲停 兆赫大漲...昇達科、台揚同步亮燈 https://tw.stock.yahoo.com/news/%E4%BD%8E%E8%BB%8C%E8%A1%9B%E6%98%9F%E5%99%B4%E5%88%B0%E5%A4%96%E5%A4%AA%E7%A9%BA-%E8%8F%AF%E9%80%9A%E6%94%9C%E6%89

 
 
 
開設課程

•射頻無線通訊系統 •微波工程 •無線通訊與微波電路實習 •微波濾波器設計實作 •高等微波濾波器設計實作 •電腦與電機英文

 
 
 
教學計畫相關活動

103學年獲「教學成效優異」 104學年獲「電資學院輔導楷模導師」 104學年參與「教學卓越計畫 教師建立特色教學計畫」 105學年指導學生參加IEEE International Symposium on Radio-Frequency Integration...

 
 
 

留言


  • Facebook
  • Twitter
  • LinkedIn

©2021 by NKU1ST Microwave Lab. Proudly created with Wix.com

bottom of page